| 前のトピックを表示 :: 次のトピックを表示 |
| 投稿者 |
メッセージ |
SonotaCo Site Admin
登録日: 2004.08.07 記事: 13304 所在地: 139.67E 35.65N
|
日時: Thu Apr 10, 2014 8:22 am 記事の件名: 1uky群流星数の確定 |
|
|
速報のアップデートというか 今回の突発について ブリーフレポートをまとめようかと思っています。
さらに2夜経過しましたが、今のところ8日以降には1uky群判定が皆無なので、 1uky 群は本当に短時間の突発だったと考えています。
で、観測群流星数を確定しようとしているのですが、4/3にも 1uky 判定される流星があります。
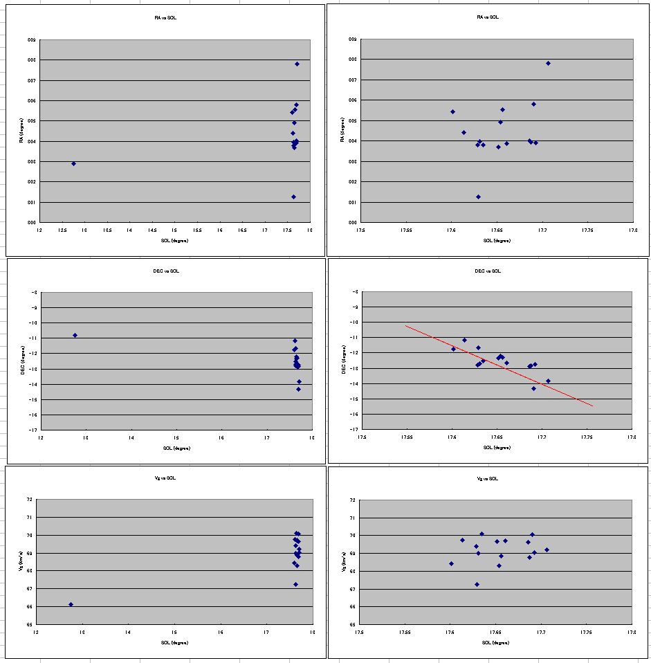
以下はこれを含めたこれまでの今年の1uky判定流星16個について sol ベースで ra,dec,vgをプロットしたものです。右半分は 4/3の分除いたクローズアップです。
これで、dec-sol が 4/3 (sol 12.7付近)を除くいたものは 綺麗な直線に乗っているように見えます。
というこうで、 4/3 の流星は今回の1uky群とは無関係の散在流星と考え、今回の1uky群の観測は 2時間34分間に集中観測された 15 流星 ということにしてまとめたいと思いました。
--------------
尚、Possible new Meteor Shower observation Report (PMSR_20140408JP_1)
について IAU MDC の Jopek から返信があり、この群についてMDCルールに従ってMDC仮符合付処理を始める との連絡がありました。
また、 Roman Piffl からEU の状況について 当日はEU内は天候が悪く観測そのものが殆どできていない。唯一英国は晴れていたが、西過ぎた( 明るかった?) という連絡がありました。米国からの連絡はまだありませんが、EUでの観測にはつなから無かったようで、残念でした
| 説明: |
|
| ファイルサイズ: |
29.26 KB |
| 閲覧数: |
12549 回 |

|
|
|
| トップに戻る |
|
 |
SonotaCo Site Admin
登録日: 2004.08.07 記事: 13304 所在地: 139.67E 35.65N
|
日時: Thu Apr 10, 2014 10:48 am 記事の件名: PMSR_20140408JP_2 |
|
|
ブリーフレポートを作成しました。以下を関係者にメールしようと思います。
内容にお気づきの点ありましたら、ご連絡下さい。引用はご自由にどうぞ
--------------------------------------------------
Dear meteor observers, MDC members
This is a brief report of possible new meteor shower observation (update of PMSR_20130408JP_1).
A compact and very shot time(only within 2h34min) 15 meteors concentration was observed.
7 orbits out of 15 were computed as hyperbolic. So this event can be the first and the last for the Earth.
We call this concentration as "1uky" until official shower name is given by MDC.
---- PMSR_20140408JP_2 (update1)---------------------------------------
Observed meteor count per night (1uky/spo)
4-6th/Apr 0/118
7th/Apr 15/73
8-10th/Apr 0/53
Shower meteors appearance period(UT): 16:59 ... 19:33 7/Apr/2014 (2h34min)
Solar longitude(degree) : 17.60 ... 17.71 peak 17.65
Modified Radiant RA(degree) : 301.3 ... 307.9 peak 304.0
Modified Radiant DEC(degree): -11.1 ... -14.3 peak -12.5 (ddec= -30deg/day!!)
Vg(km/s) : 67.3 ... 70.2 peak 69.5
Observation network : SonotaCo Network (Japan)
Station/Observer : NN4/Shimoda, KN1/Inoue, TK1/SonotaCo,
NI2/Kamimura, TK6/Saitou, OS3/Ueda,
IS2/Yamakawa, HG3/Shiba, OM1/mars,
NN1/masuzawa, ST1/ts007, CB3/Avell,
KW1/SanbonmatsuHS
Forum Event Log(UT+9h)
06:09 8/Apr Shimoda upload NN4 7-8 observation result to the SonotaCo Network Hub with a comment "It was not so clear sky"
07:40 8/Apr Inoue upload KN1 7-8 observation result with a comment "There were many meteors comes from east".
08:03 8/Apr SonotaCo upload TK1 7-8 observation result with a comment "It was very fine but transparency became a bit bad. Bright meteors appeared beyond my expectation for Japanese spring"
08:27 8/Apr Shimoda noticed the concentration using UO2 on 3 stations data, and opened a new forum topic for discussion of this event with a title "Emerging fast meteor shower outburst from south of Aquila 20140408".
10:51 8/Apr SonotaCo issued the first "Possible new Meteor Shower Report(PMSR_20140408JP_1) for 10 related persons in the world.
16:17 8/Apr SonotaCo decided the temporal name of this shower as "Jx_1uky" using 4D code that corresponds to 4chars of (sol, ra, dec,Vg).
12:38 9/Apr ts007 computes 13 shower meteor orbits from 11 station data uploaded.
10:xx 10/Apr Observed 1uky meteors became 15 according to the most of the single station data uploaded. SonotaCo make this brief report upon this.
Attached file (contents of Jx_1uky.zip)
B2007-2013April4897.png : plot of 4897 orbits in Apr 2007-2013.
B20140404_06_118.png PMSR_20140408JP_update1 : plot of 118 orbits in 04-18 Apr 2014.
B20140407_07_73.png : plot of 73 orbits in 07 Apr 2014.
B20140408_10_53.png : plot of 53 orbits in 08-10 Apr 2014.
B20140407_1uky_GMAP.png : plot of 1uky 15 meteors ground trajectory.
SOLvdDEC.png : plot of DEC of 1uky 15 meteors
SOLvdRA.png : plot of RA of 1uky 15 meteors
SOLvdVg.png : plot of Vg of 1uky 15 meteors
U2_1uky_15.csv : UO2 output data of 15 meteors
PMSR_20140408JP_2.txt : this file
Related web page: http://sonotaco.jp/forum/viewtopic.php?t=3242
SonotaCo 2014/04/10 10:43(JST)
| 説明: |
|
| ファイルサイズ: |
38.84 KB |
| 閲覧数: |
12513 回 |

|
| 説明: |
| plot of 04-06 of this April |
|
| ファイルサイズ: |
16.39 KB |
| 閲覧数: |
12513 回 |

|
| 説明: |
|
| ファイルサイズ: |
16.5 KB |
| 閲覧数: |
12513 回 |

|
| 説明: |
|
| ファイルサイズ: |
16.48 KB |
| 閲覧数: |
12513 回 |

|
| 説明: |
| 1uky 07 ground trajectory map |
|
| ファイルサイズ: |
89.79 KB |
| 閲覧数: |
12513 回 |

|
| 説明: |
|
| ファイルサイズ: |
8.96 KB |
| 閲覧数: |
12513 回 |

|
| 説明: |
|
| ファイルサイズ: |
8.09 KB |
| 閲覧数: |
12513 回 |

|
| 説明: |
|
| ファイルサイズ: |
6.75 KB |
| 閲覧数: |
12513 回 |

|
| 説明: |
|
 ダウンロード |
| ファイル名: |
Jx_1uky.zip |
| ファイルサイズ: |
179.41 KB |
| ダウンロード回数: |
341 回 |
| 説明: |
|
 ダウンロード |
| ファイル名: |
U2_iuky_15.csv |
| ファイルサイズ: |
11.57 KB |
| ダウンロード回数: |
373 回 |
|
|
| トップに戻る |
|
 |
藤原康徳
登録日: 2004.08.10 記事: 3476 所在地: 大阪市淀川区
|
日時: Thu Apr 10, 2014 9:20 pm 記事の件名: NMS同報より転載 |
|
|
藤原康徳です
NMS同報に次のような指摘があります。小関さんがSonotaCoネットワークに参加されて
おられるかどうか分かりませんが、プラスNMS同報にも参加されておられる関係者(?)
からも指摘がありませんので、ちょっとおせっかいかもしれませんが転載します。
Jenniskensの群と関連があるのかどうかはJenniskensの報告の詳細が分かりません
ので(論文を準備中とのことのようです)、なんとも分かりません。
------ 以下、転載------
4月8日/NMS同報/小関正広
送信して4時間たっても配信されないので、再送します。
--- 送信:2014/04/08 (火) 10:34
突発群の検出おめでとうございます。
Updated AD 2013, December 13, by Z. Kanuchova and T.J. Jopekには次のものがあ
ります。
これは、一括ダウンロードすると見られるもので、一覧表には掲載されていません。
イェニスケンスが大喜びして、Spaceweatherなどで大々的に宣伝しそうです。
IAUNo=645
Code=PHC:phi Cancrids
Ls=13
RA=300.1
Dec=-11.6
dRA=0.987
dDec=0.202
Vg=67.8
a=4.63
q=0.761
e=0.88
Arg=120.3
Node=195.0
Inc=163.3
Reference:Jenniskens et al.
|
|
| トップに戻る |
|
 |
前田
登録日: 2004.09.01 記事: 2927 所在地: Miyazai JAPAN (E131.4, N31.8)
|
日時: Thu Apr 10, 2014 10:54 pm 記事の件名: 関連群無し |
|
|
宮崎の前田です。
すばらしい検出ですね。わくわくして、
4月6から8日に観測していた4台のカメラに関して判定を行いましたが、新群は捕らえられていませんでした。残念。7日は夜半前はくもり、明け方に向けてゆっくり晴れていく天候でした。
投影した経路図を見るとどれも長めなので、明るい流星が多かったのでしょうか。1箇所からの観測で光度関数が出せたら面白いと思います。
|
|
| トップに戻る |
|
 |
上田昌良
登録日: 2005.02.07 記事: 3298 所在地: 大阪府
|
日時: Fri Apr 11, 2014 1:15 am 記事の件名: Re:NMS同報より転載 |
|
|
今回の突発群は、過去の当Networkで捉えられていないことから、possible new meteor shower ですすめましょう。短時間の突発という特徴のある新流星群です。
あとはジョペックさんの判断をまちましょう。何も確定群にしろとまでは言ってないわけですから、
|
|
| トップに戻る |
|
 |
SonotaCo Site Admin
登録日: 2004.08.07 記事: 13304 所在地: 139.67E 35.65N
|
日時: Fri Apr 11, 2014 5:44 am 記事の件名: Day 3 |
|
|
夢にこの話しが出て来て 起きてしまいました
いつも肝心な時に肝心なコメントありがとうございます > 藤原さん
これは MDCの全最新データから群リストを作り直して検証する必要がありますね。今日トライしてみます。
Sirko から 今の所IMOでは 関連観測報告はない との連絡がありました。
あまりに短時間の突発なので、EUは悪天候、英国は日没前、米国は昼間 ということで 観測できなかったようです。
Jopek から アップデートレポートへのお礼がきました。 ついでにMDC標準形式でのデータを要求が来ました。こんなものは昔は無かったのですが...
MDCの最新データをUFORadiantに取り込める形にして、それで 1uky 15流星を処理して、IAU#645との関係を明らかにした上で MDCの新標準形式を作り、Jopekに送る方向でやってみようと思います。
今の所、可能性として次のものあるようです
親天体について
1a) 未知の天体
1b) C/1917 H1
周期性について
2a) 非周期
2b) 数千年程度の長い周期
群について
3a) 新流星群
3b) IAU #645 PHC
極めて短時間の集中だったことを考えると 1a 2a 3a という可能性が期待されますが、どうでしょうか
|
|
| トップに戻る |
|
 |
SonotaCo Site Admin
登録日: 2004.08.07 記事: 13304 所在地: 139.67E 35.65N
|
|
| トップに戻る |
|
 |
SonotaCo Site Admin
登録日: 2004.08.07 記事: 13304 所在地: 139.67E 35.65N
|
日時: Fri Apr 11, 2014 6:37 am 記事の件名: Re: NMS同報より転載 |
|
|
| 藤原康徳 wrote: | Updated AD 2013, December 13, by Z. Kanuchova and T.J. Jopekには次のものがあ
ります。
これは、一括ダウンロードすると見られるもので、一覧表には掲載されていません。
イェニスケンスが大喜びして、Spaceweatherなどで大々的に宣伝しそうです。
IAUNo=645
Code=PHC:phi Cancrids |
今 MDC から最新の streamfulldata.csv をダウンロードしたのですが、#622までしかなく、この PHC群は記載がないのですが、もっと別のものでしょうか???
ご存知の方、お教え下さい。
MDCのこのデータは頻繁に意味不明の削除追加があることはあるのですが.....
|
|
| トップに戻る |
|
 |
SonotaCo Site Admin
登録日: 2004.08.07 記事: 13304 所在地: 139.67E 35.65N
|
日時: Fri Apr 11, 2014 10:12 am 記事の件名: Re: 新流星群名 |
|
|
Jenniskens から メールがあり、"April alpha Capricornids" (AAC) の提案がありました。
ご意見ありますでしょうか > 皆様
どうも 流星群について CBET を出すことを考えているようです。
|
|
| トップに戻る |
|
 |
SonotaCo Site Admin
登録日: 2004.08.07 記事: 13304 所在地: 139.67E 35.65N
|
日時: Fri Apr 11, 2014 10:34 am 記事の件名: 最新のMDCデータです |
|
|
最新(20140411時点)のIAU MDC streamfulldata.csv を加えた UFO シリーズ 新群検出用の 流星群カタログを作りました。プレフィックスは以下です
J で始まるものは SonotaCo Netork オリジナル
Ie : IAU established
It : IAU to be established
I1,2,3 : IAU additional value for the stream
Ip : IAU pro tempre
Jx_1uky は以下の15流星をUFORで処理した値としました。 ただし dRa, dDecは 測定した出現期間が極めて短いため 、 0 にしました。
| 説明: |
| 最新の流星群カタログで表示した 04-10の輻射点マップです |
|
| ファイルサイズ: |
19.67 KB |
| 閲覧数: |
12352 回 |

|
| 説明: |
|
| ファイルサイズ: |
13.78 KB |
| 閲覧数: |
12352 回 |

|
| 説明: |
| MDC 20140411を使用した UFOシリーズ 新群検出用流星群カタログです。 |
|
 ダウンロード |
| ファイル名: |
U_J5XI201404.csv |
| ファイルサイズ: |
112.48 KB |
| ダウンロード回数: |
361 回 |
|
|
| トップに戻る |
|
 |
上田昌良
登録日: 2005.02.07 記事: 3298 所在地: 大阪府
|
日時: Sat Apr 12, 2014 6:33 am 記事の件名: Re;新流星群名 |
|
|
遅いReですみません。
新流星群名は「Jenniskens から メールがあり、"April alpha Capricornids" (AAC) の提案がありました。」これでいいですね。
ただ、輻射点がわし座とやぎ座の境界ですから輻射点位置の最終決定位置が大きく変わらないと思いますが、要注意です。
WGNへの投稿予定としておきませんか。もちろん、この群を見つけたShimodaさんと解析をされたSonotaCoさんのご意見が最重要ですが、
_
Discovery of the February epsilon Virginids (FEV, IAU #506)
Kathryn Steakley and Peter Jenniskens
WGN 41:4, 2013
_
A possible new meteorshower - ηHydrids
Damir Segon et al.
WGN 41:5, 2013
_
前例としましてこのような簡単なものの投稿があります。このような簡単なものでいいと思います。
そして、今回の"April alpha Capricornids"の投稿ができれば、これを新群のサンプル投稿原稿として
今後の突発群の新群の投稿に使っていくというのがよいと思います。
誰が英文にするのかという高いハードルが立ちはだかっていますが、だれか手をあげませんか、、、
_
_
>すみません、Jopekから要求された新フォーマットで新流星群名案の提示が義務となっています。
私の方は今日は上記作業をするので、 どなたか以下を読んで機知のものと重複しない案を作ってくださると嬉しいです
http://www.ta3.sk/IAUC22DB/MDC2007/Dokumenty/shower_nomenclature.php
>あと、リファレンスの欄があり、 WGNなどに投稿予定がある場合は記入することになっていますが... どうしましょうか
|
|
| トップに戻る |
|
 |
SonotaCo Site Admin
登録日: 2004.08.07 記事: 13304 所在地: 139.67E 35.65N
|
日時: Sat Apr 12, 2014 6:49 am 記事の件名: IAU 仮符合決定しました |
|
|
その後 Peter Jenniskens と Tadeusz Jopek と何度がやりとりがありましたが、
今朝 Jopek から IAU 仮符号決定通知が届きました。以下に転載します。おめでとうございます > 皆様
-----------------------------------------
Date: Fri, 11 Apr 2014 13:35:19 +0200
Dear SonotaCo,
your shower obtained:
IAU code No : 752
IAU 3 letter code : AAC
IAU name : April alpha Capricornids
When the paper describing this shower will be printed out, please send me a copy of it.
Best regards
Tadeusz
------------------------------------------
これをもとに 発見者をShimodaさん、観測者を先の PMSR_20140408JP_2 (update1) の観測者リストに掲載した観測者とする
CBETが発行されるものと思います。
ということで、Shimodaさんを筆頭とする論文執筆を是非ご検討下さい > Shimoda さん
また 観測者名については 速報ではフォーラムのハンドル名としましたが、論文化に当たっては正式名の確認とご本人の了承
取得をお願いします > 筆頭者さま
今回、図らずも 速報の発行による 発見者確定とそれによるIAU仮符号取得となりました。
速報は全世界での同時観測を促す意味で必要だと思うので、今回のように発見を即座に公開してしまうのもよい方法のように思います。
Jopekに送付した 新符号確定用の数値を記載したデータシートを添付しておきます。WGN掲載予定としてあります。
急な処理だったので、皆様のご了解を得ず進めた点が多々あったと思います。
ご意見あれば、お願いします。
| 説明: |
MDC提出資料です。テキストエディタで開いてください。
最後の行が今回のものです |
|
 ダウンロード |
| ファイル名: |
streamfulldata_format_AAC.csv |
| ファイルサイズ: |
7.83 KB |
| ダウンロード回数: |
360 回 |
|
|
| トップに戻る |
|
 |
SonotaCo Site Admin
登録日: 2004.08.07 記事: 13304 所在地: 139.67E 35.65N
|
日時: Sat Apr 12, 2014 9:28 am 記事の件名: J5 に 新群を加えたもの |
|
|
J5 の 流星群カタログに 正式名称の新群 Ip_AAC を加えた J5.1 カタログを作っておきます。
流星群の発生がおよそ 7日17時UT で仮符合決定が 11日11時過ぎということで 3日と19時間ほどでの決定でした。
幾つかの国で国家予算を使った流星観測網ができつつあります。
我々のネットワークは Poket budget scientist によって支えられているものですが、世界に誇れるものになっていると思います。
| 説明: |
|
| ファイルサイズ: |
21.65 KB |
| 閲覧数: |
12256 回 |

|
| 説明: |
|
 ダウンロード |
| ファイル名: |
ULE_J5.1.csv |
| ファイルサイズ: |
6.14 KB |
| ダウンロード回数: |
392 回 |
|
|
| トップに戻る |
|
 |
Shimoda
登録日: 2006.12.12 記事: 4010 所在地: 長野県朝日村
|
日時: Sat Apr 12, 2014 10:21 am 記事の件名: Re: IAU 仮符合決定しました |
|
|
今回の新流星群検出については、素直にうれしい気持ちですが、これもすべて長年観測を続けてこられたSonotaCoネットメンバーの日ごろの努力と、何よりもこのネットワークを構築し、今回も迅速でち密な対応をしてくださったSonotaCoさんのお力によるところが大であることは、言うまでもありません。
私は3月末からメンバーに加えてもらった新参者で、発見者とか筆頭とした論文執筆とか言われますと、戸惑うことも多いので、ぜひ皆様のお力でこの流星群を世に出してください。
最初に流星群の可能性を呼びかけた意味での発見者ではありますが、以降の分析はほぼすべてSonotaCoさんがやっていただいていますので、SonotaCoさんに筆頭をやっていただくことが適当だと思いますし、正直助かります。
私はTV観測を火球の早期軌道決定と隕石回収を目的として行っています。そのため、朝起きるとTVデータ解析と火球カメラの画像回収、そしてネット上に火球の目撃の情報がないか探すことから一日が始まります。
8日はTVデータ解析時点で、東から明るい流星が多いなという印象があり、データをアップした後、INOUEさんの「東から来る流星が多くありました。」と、SonotaCoさんの「春にしてはやや大きめの流星が多いような気もします。」という私と同じ印象の書き込みを見て、何かあると直感し、あわてて集計して顕著なshowerに気づきました。
すでに明るくなっていたことから、これを確認するのはこれから放射点が上がるヨーロッパのネットワークだろうと考えて、Forumに情報をアップするとともに広く情報を海外に流す方法考えていました。
その時、SonotaCoさんが書き込みに気づいてくれ、その後の素早い情報発信になったのはご存じのとおりです。
おそらく私が気付かなくても、その日のうちにSonotaCoさん、あるいはほかのメンバーが気付いたことと思います。
SonotaCoさん、その他のメンバーの皆さんありがとうございました。このネットワークのメンバーであることを誇りに思います。
|
|
| トップに戻る |
|
 |
SonotaCo Site Admin
登録日: 2004.08.07 記事: 13304 所在地: 139.67E 35.65N
|
日時: Sat Apr 12, 2014 2:43 pm 記事の件名: 執筆者の立候補ありませんでしょうか |
|
|
そうですかぁ....第一発見者のShimodaさんに書いて頂けないのは大変残念です。
今回の新群は親天体となる彗星あるいは小惑星の発見またはその軌道の確定に繋がる可能性もあると思っており、何からの投稿をしておくことは もはや国際的に必須と思っています。
で、実際に書いて投稿される方が筆頭が良いと思っています。
成り行きで(海外への連絡のため)仮符号取得までやってしまいましたが、私自身は、可能な限りどなたかに論文執筆していただきたく思っています。
ということで、今回観測された方、あるいはその統計処理や親天体の軌道計算等をされる方などの中で、執筆しても良いという方おられますでしょうか?
おられましたら、是非 1週間以内程度にご発言か連絡お願いします。
-----
ちなみに、昨日Shimodaさんから頂いたテストメールのへの返信も戻ってきてしまいました。
yahoo.co.jp のメールサーバーは cnet.ne.jpのメールサーバーが unreachable for too long と言っています。
|
|
| トップに戻る |
|
 |
|