| 前のトピックを表示 :: 次のトピックを表示 |
| 投稿者 |
メッセージ |
上田昌良
登録日: 2005.02.07 記事: 3320 所在地: 大阪府
|
日時: Wed Mar 31, 2010 7:58 am 記事の件名: 2010年3月30日23:41:20JST 分裂火球 |
|
|
2010年3月30日23:41:20JST 分裂火球が出現しました。
6mmレンズで大阪にて捉えました。
消滅点付近で4個に分裂しています。雲を通して写っています。
火球の左の流星はゴースト。
追加:動画は2.4MBもありますので、次のところにおきました。
http://meteor.chicappa.jp/2010/TV20100330d234120sSPO.html
| 説明: |
|
| ファイルサイズ: |
30.54 KB |
| 閲覧数: |
18546 回 |

|
| 説明: |
|
| ファイルサイズ: |
30.96 KB |
| 閲覧数: |
18546 回 |

|
|
|
| トップに戻る |
|
 |
三本松HS 三好
登録日: 2007.05.16 記事: 1290 所在地: 東かがわ市
|
日時: Wed Mar 31, 2010 4:48 pm 記事の件名: Re: 2010年3月30日23:41:20JST 分裂火球 |
|
|
kagawa1 ではどうにか記録できていました。
| 説明: |
|
| ファイルサイズ: |
29.92 KB |
| 閲覧数: |
18513 回 |

|
| 説明: |
|
 ダウンロード |
| ファイル名: |
M20100330_234121_kagawa1_01.wmv |
| ファイルサイズ: |
419.52 KB |
| ダウンロード回数: |
1482 回 |
|
|
| トップに戻る |
|
 |
司馬康生
登録日: 2005.11.26 記事: 2561 所在地: 明石市
|
日時: Wed Mar 31, 2010 10:15 pm 記事の件名: 20100330_234117 の火球 |
|
|
3月に入ってから、天候の不調もありましたが、いろいろなテスト撮影ばかりで、csvにアップロードできる安定したデータ取得ができていません。
この火球は久々の大物です。もう一本のレンズでも映っていますが、比較星が無く、測定不能に近い感じです。
上田様ー>例によって手動測定をしますが、数日お待ちを。
| 説明: |
|
 ダウンロード |
| ファイル名: |
20100330_234117.wmv |
| ファイルサイズ: |
620 KB |
| ダウンロード回数: |
1379 回 |
|
|
| トップに戻る |
|
 |
masuzawa
登録日: 2005.04.09 記事: 3983 所在地: SHIOJIRI
|
日時: Wed Mar 31, 2010 11:11 pm 記事の件名: Re: 2010年3月30日23:41:20JST 分裂火球 |
|
|
長野からも捕らえていますが、avi が不完全で、36フレームまでしかデータがありません。 同時観測データとしては精度が出ていないようです。
最近、こういったデータが2台のHDDで増えています。 解決策としては、HDDをフォーマットしてみるくらいでしょうか・・
| 説明: |
|
| ファイルサイズ: |
14.86 KB |
| 閲覧数: |
18480 回 |

|
|
|
| トップに戻る |
|
 |
ada
登録日: 2007.04.30 記事: 515 所在地: 千葉県千葉市
|
日時: Thu Apr 01, 2010 1:39 am 記事の件名: Re: 2010年3月30日23:41:20JST 分裂火球 |
|
|
低空すれすれに写りましたが、後半は建物の陰に入ってしまいました。
| 説明: |
-1.6等級判定
この方向の低空視野は仰角5度くらいまでです。 |
|
| ファイルサイズ: |
28.1 KB |
| 閲覧数: |
18449 回 |

|
|
|
| トップに戻る |
|
 |
上田昌良
登録日: 2005.02.07 記事: 3320 所在地: 大阪府
|
日時: Thu Apr 01, 2010 8:40 am 記事の件名: Re: 2010年3月30日23:41:20JST 分裂火球 |
|
|
Masuzawaさんへ
パソコンのハードデスクをカラにし、デフラグをするなど対応をして下さい。
もうすぐ、4月6日、7日の隕石落下の特異日が近づいていますので、
(この隕石落下の特異日とは、私が勝手に言ってるだけですので、
必ず隕石が落下してくる日ではありません、>皆さん)
|
|
| トップに戻る |
|
 |
SonotaCo Site Admin
登録日: 2004.08.07 記事: 13513 所在地: 139.67E 35.65N
|
日時: Thu Apr 01, 2010 9:51 am 記事の件名: Re: 2010年3月30日23:41:20JST 分裂火球 |
|
|
Tokyo1 は画面の隅で、電線にかかったうまく分析できていません。
| masuzawa wrote: | | 最近、こういったデータが2台のHDDで増えています。 解決策としては、HDDをフォーマットしてみるくらいでしょうか・・ |
HDD関係の可能性もありますが、これも低速流星ですので、スローオブジェクトマスクのP/sが大き過ぎても似たような現象が起こるかも と 思います。
HDDも数年間毎日使用すると速度が急に遅くなるものもあり、私は数年したら、交換して、バックアップ用にしています。
| 説明: |
|
| ファイルサイズ: |
22 KB |
| 閲覧数: |
18421 回 |

|
|
|
| トップに戻る |
|
 |
上田昌良
登録日: 2005.02.07 記事: 3320 所在地: 大阪府
|
日時: Sun Apr 04, 2010 7:31 pm 記事の件名: Re: 2010年3月30日23:41:20JST 分裂火球 (依頼) |
|
|
いろいろ火球に手をだしておりまして、混乱してます。
この火球を撮影されました
三本松高校さん、 Masuzawaさん、adaさん、
ご多用の中すみませんが、例のごとくM*****A.XMLファイルを上田 昌良まで送っていただけませんか。
送付先:上田 昌良
E-mail:***********@****************
アドレスは、** と ** の間にあります。
このファイルは、SonotaCoさんにも転送します。また、結果のまとめは、ここに報告します。
公開されたものは自由に引用できますので、事前にこれらをご承諾しておいてください。
編集:ファイルの提供がありましたので、E-mailアドレスを削除しました。
最終編集者 上田昌良 [ Sun Apr 11, 2010 4:31 am ], 編集回数 1 回 |
|
| トップに戻る |
|
 |
INOUE
登録日: 2006.02.09 記事: 4800 所在地: 東京都八王子市
|
日時: Sun Apr 04, 2010 8:23 pm 記事の件名: カラーカメラでの映像 |
|
|
家庭用ビデオで撮影できていました。これ以上遅いとスローオブジェクトなってしまうほど低速でした。
色はほとんど白ですが、若干黄色みを帯びている感じです。
| 説明: |
HDR-XR500V+2倍ワイドレンズ
ピークホールド画像 |
|
| ファイルサイズ: |
13.62 KB |
| 閲覧数: |
18268 回 |

|
|
|
| トップに戻る |
|
 |
masuzawa
登録日: 2005.04.09 記事: 3983 所在地: SHIOJIRI
|
日時: Sun Apr 04, 2010 9:27 pm 記事の件名: Re: 2010年3月30日23:41:20JST 分裂火球 |
|
|
| SonotaCo wrote: |
| masuzawa wrote: | | 最近、こういったデータが2台のHDDで増えています。 解決策としては、HDDをフォーマットしてみるくらいでしょうか・・ |
HDD関係の可能性もありますが、これも低速流星ですので、スローオブジェクトマスクのP/sが大き過ぎても似たような現象が起こるかも と 思います。
HDDも数年間毎日使用すると速度が急に遅くなるものもあり、私は数年したら、交換して、バックアップ用にしています。 |
"HD tune" にてHDDをチェックしてみました。 NG の HDD は転送レートが 1桁悪い上に、CPU利用率が、30% とか 50% に跳ね上がっています。 (正常な HDD は 1%程度)
暫定対策として、2台のカメラを 1台のHDDでカバーするようにしました。
|
|
| トップに戻る |
|
 |
上田昌良
登録日: 2005.02.07 記事: 3320 所在地: 大阪府
|
日時: Mon Apr 05, 2010 8:24 am 記事の件名: Re: 2010年3月30日23:41:20JST 分裂火球 |
|
|
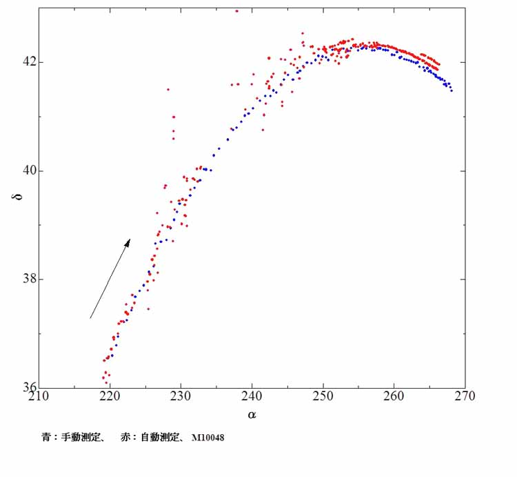
この火球の暫定落下予報地点は、三重県伊賀市です。
まだ、ほんとうに暫定値ですが、現地へ本日(4/5)下見に行ってきます。
私のところの映像は、曇りで比較星が写っていません。手動測定したものと
自動測定を図に表示します。
比較星が写っている所もありますので、その流星データの提供を待って、
隕石落下予報の最終版を司馬さんに計算していただく予定です。
| 説明: |
| 上田の撮影映像からAnalyzerV2を使って、手動測定したもの、自動測定とずれているのが気になります。 |
|
| ファイルサイズ: |
23.73 KB |
| 閲覧数: |
18228 回 |

|
| 説明: |
火球の暫定実経路
暫定落下地はゴルフ場が点在する山中、捜索可能な地形でしょうか。 |
|
| ファイルサイズ: |
32.14 KB |
| 閲覧数: |
18228 回 |

|
|
|
| トップに戻る |
|
 |
上田昌良
登録日: 2005.02.07 記事: 3320 所在地: 大阪府
|
|
| トップに戻る |
|
 |
司馬康生
登録日: 2005.11.26 記事: 2561 所在地: 明石市
|
日時: Tue Apr 06, 2010 10:45 pm 記事の件名: 隕石落下位置の予報(2) |
|
|
上田さんからいただいた軌道データから、シミュレーションしてみました。
ただ、初報としてお送りしたデータに誤りがあり訂正しています。
上田さんには無駄に足を運ばせてしまいすみません。
落下予報位置は、滋賀県南東端、甲賀市で、三重県境に近い位置になっています。
落下予想質量は100g程度期待できそうです。
また、条件をいろいろ変えて計算を続けます。
| 説明: |
|
| ファイルサイズ: |
29.83 KB |
| 閲覧数: |
15373 回 |

|
|
|
| トップに戻る |
|
 |
藤原康徳
登録日: 2004.08.10 記事: 3559 所在地: 大阪市淀川区
|
|
| トップに戻る |
|
 |
司馬康生
登録日: 2005.11.26 記事: 2561 所在地: 明石市
|
日時: Sun Apr 11, 2010 2:09 pm 記事の件名: 落下計算の微修正 |
|
|
前回の計算で、時間ー高度 の関係が少しうまくフィットしていなかったので、諸定数を微修正した結果です。いずれも観測の元データは、上田さんより提供の(上田?司馬)の観測結果です。光度については、上田さんの影像測定のため、経路途中からです。質量は、分裂した最初の破片の落下予想質量を基準するため、最初の全体の質量はこの何倍かあったはずです。光度変化がうまく再現できない点は、いつものことといえばいつものことなんですが、難問です。
| 説明: |
|
| ファイルサイズ: |
29.18 KB |
| 閲覧数: |
17970 回 |

|
|
|
| トップに戻る |
|
 |
|