SonotaCo.JP
SonotaCo Network Japan Forum
SonotaCo.JP Forum Index
homeTop Page  FAQFAQ   検索検索   メンバーリストメンバーリスト   ユーザーグループユーザーグループ   登録する登録する 
 プロフィールプロフィール   プライベートメッセージをチェックするプライベートメッセージをチェックする   ログインログイン 

2021年1月14日18時13分31秒西日本上空低速火球
ページ移動 前へ  1, 2
 
新しいトピックを投稿   トピックに返信    SonotaCo.JP Forum Index -> 流星談話室 (Meteors)
前のトピックを表示 :: 次のトピックを表示  
投稿者 メッセージ
上田昌良



登録日: 2005.02.07
記事: 3298
所在地: 大阪府

記事日時: Fri Jan 22, 2021 9:09 pm    記事の件名: 低速の火球の軌道計算結果(訂正) 引用付きで返信

低速の火球の軌道計算結果(訂正)
=2021年1月14日18:13:30(JST)出現=

報告:上田昌良

※:先にこの火球の軌道計算結果を報告した。しかし、先に述べたように、どうも速度がおかしいのである。これは司馬さんからも連絡があった。もっと精密に決まるはずだが、原因は不明である。それで最初からやりなおした。米口さんは、再度、位置測定をやりなおしてもらった。結局、火球の発光点と消滅点付近の像は淡いので、私が手動測定を行った。再度の軌道計算の結果、速度及び対地軌道が満足のいくものとなった。米口さんのご協力には感謝を申しあげる。そして、ここに訂正版を報告する。
 
1. 概要
 表題の絶対光度-3.8等の火球が、兵庫県の上空に現れた。発光点の高度は86.5kmで、消滅点高度は31.6kmだった。初速(V∞)が19.8km/s±1.4km/sと低速だったことと消滅点高度の低さから、この火球に伴う隕石落下地点の計算を司馬康生氏が行うことになった。速度の著しい減速がみられた。
この火球の特徴は、その軌道傾斜角が1.26°で黄道面とほぼ同じ軌道だったことだ。結果の詳細は次の図表をみられたい。
 
2. 撮影
 この火球は次の諸氏が撮影した。その観測地の合計は6カ所で、カメラが8台だった。
・下田力(長野県、M21015、M21021)
・藤原康徳(大阪府、M21017、M21018)
・SonotaCo(東京都、M21016)
・米口一彦(石川県、M21019)
・下元繁男(高知県、M21022)
・上田昌良(大阪府、M21020)

3. 謝辞
 前述の撮影者の皆さんからこの撮影流星のデータ等を提供いただいた。改めて御礼を申しあげる。



2021 01 14 81330 VHM.jpg
 説明:
フレームごとの観測速度と絶対光度
 ファイルサイズ:  171.49 KB
 閲覧数:  2122 回

2021 01 14 81330 VHM.jpg



2021 01 14 181330 実経路 経度緯度 拡大 .SMP.jpg
 説明:
各観測地からの実経路がよく一致している
 ファイルサイズ:  99.97 KB
 閲覧数:  2122 回

2021 01 14 181330 実経路 経度緯度 拡大 .SMP.jpg



2021 01 14 181330 実経路 経度 高さ 拡大 .jpg
 説明:
火球実経路の高さ、各観測地からの高さがすばらしく一致している。
 ファイルサイズ:  103.12 KB
 閲覧数:  2122 回

2021 01 14 181330 実経路 経度 高さ 拡大 .jpg



2021 01 14 181330 軌道計算結果.jpg
 説明:
軌道計算の結果
 ファイルサイズ:  107.03 KB
 閲覧数:  2122 回

2021 01 14 181330 軌道計算結果.jpg


トップに戻る
ユーザーのプロフィールを表示  
司馬康生



登録日: 2005.11.26
記事: 2528
所在地: 明石市

記事日時: Sat Jan 23, 2021 11:37 am    記事の件名: 落下計算中 引用付きで返信

上田さんにお手間をおかけしましたが、計算進行できそうだという段階に至りました。
まず、初速決定から基準となる諸元決定まで進めています。
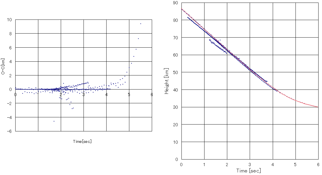
左の図では、精度的に大丈夫だろうというデータを残しておりますが、測定点は横軸ゼロの位置で良く揃っています。画像解像度が上がると精度的に向上がよく感じられます。
V0=19.944km/s
195gの突入質量(破砕を考慮すると真の初期質量はこれ以上)
で計算をスタートし、右の図のように時間と高度の関係で観測と計算がほぼ一致する基準とする数値に至りました。
この結果で落下質量は20g、位置は赤穂市北西部です。
速度や末端高度(31.6km)が大きくなったのですが、思ったより落下質量は残っている感じです。
これから落下域を求める計算に進めます。



time_h.gif
 説明:
左:速度を指数関数近似したときの飛行距離のO-C
右:飛行時間と地上高度の関係を観測と隕石落下シミュレーションを重ねたもの(青=観測、赤=計算)
 ファイルサイズ:  16.95 KB
 閲覧数:  2086 回

time_h.gif


トップに戻る
ユーザーのプロフィールを表示   投稿者のウェブサイトに移動
司馬康生



登録日: 2005.11.26
記事: 2528
所在地: 明石市

記事日時: Sat Jan 23, 2021 4:55 pm    記事の件名: 落下推定計算結果 引用付きで返信

落下推定計算を進めました。
風データは、潮岬21時を基本とし、同09時、松江09,21時を加えました。
落下質量は20gを中心に、最大35g程度でした。
場所は赤穂市北西部、JR有年(うね)駅から西数kmの範囲でした。



3.jpg
 説明:
推定落下域
 ファイルサイズ:  329.66 KB
 閲覧数:  2063 回

3.jpg


トップに戻る
ユーザーのプロフィールを表示   投稿者のウェブサイトに移動
司馬康生



登録日: 2005.11.26
記事: 2528
所在地: 明石市

記事日時: Sat Feb 06, 2021 9:33 pm    記事の件名: 現地へ行きました。 引用付きで返信

晴れて気温も上がり、現地を半日ほど歩きました。
推定落下域の東半分は、田の中に家屋などがまばらに存在する地域、西半分が人のほとんど入らない山です。
運動を兼ねて山歩きに時間を割きましたが、発見は難しいだろうという気持ちが前面に出て??、ほとんど捜索とは行きませんでした。
地質的には流紋岩質の岩石で、黒い石があれば見つけやすいでしょう。
交番に寄ってお尋ねしましたが、有意な情報は無しでした。



20210206_赤穂市有年08.JPG
 説明:
国道2号線からハリマ台方面を見る。
右後方が清水山(きよみずさん:315m)
この辺りが一番有力。
 ファイルサイズ:  671.73 KB
 閲覧数:  1915 回

20210206_赤穂市有年08.JPG


トップに戻る
ユーザーのプロフィールを表示   投稿者のウェブサイトに移動
Shimoda



登録日: 2006.12.12
記事: 4009
所在地: 長野県朝日村

記事日時: Sun Feb 07, 2021 8:51 am    記事の件名: Re: 現地へ行きました。 引用付きで返信

現地の様子を教えていただきありがとうございました。
平坦な部分もかなりありそうですし、探しやすそうな場所ですが、20gと思いながら捜索するのは確かに大変ですね。
このご時世でなければ遠征して散歩もありでしょうが、残念です。
トップに戻る
ユーザーのプロフィールを表示   投稿者のウェブサイトに移動
特定期間内の記事を表示:   
新しいトピックを投稿   トピックに返信    SonotaCo.JP Forum Index -> 流星談話室 (Meteors) All times are GMT + 9 Hours
ページ移動 前へ  1, 2
Page 2 of 2

 
移動先:  
新規投稿: 不可
返信投稿: 不可
記事編集: 不可
記事削除: 不可
投票参加: 不可
このフォーラムで添付ファイルを投稿 できません
このフォーラムでファイルをダウンロード できます


Powered by phpBB © 2001, 2005 phpBB Group
Copyright ©2004 SonotaCo Network. All Rights Reserved.